三相感应电机旋转磁场的数学分析及分量公式
发布时间:2023-02-01 11:54:52点击量:
当三相电源馈入三相感应电机的定子绕组时,会产生旋转磁场(RMF)。磁场的磁极将不会保持在定子上的固定位置,而是继续围绕定子移动它们的位置。因此,它被称为旋转磁场(RMF)或RMF。
从数学上可以看出,该旋转磁场的大小是恒定的,等于任何相电流引起的最大磁通量(?m)的1.5倍。旋转磁场的速度称为同步速度(NS)。同步速度的值取决于定子上的极数(P)和电源频率(f)。

旋转磁场的数学分析
考虑三个相同的线圈,它们在空间中彼此错开120°。让这三个线圈由平衡的三相电源供电。因此,每个线圈将产生沿其自身轴的交变磁通量。现在,让三个瞬时通量由下式给出

此处,?m是任何相中电流引起的磁通量的最大值。相量图显示了三个通量。

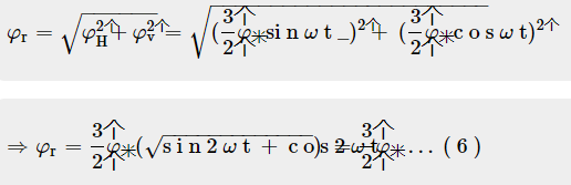
要确定合成通量的大小,请将每个通量分解为水平和垂直分量,然后找到它们的相量和。因此,合成的通量水平分量由下式给出

通量的合成垂直分量由下式给出

合成通量由下式给出

因此,从等式。(6)可见,合成旋转磁场的大小等于每相磁通最大值(?m)的1.5倍。此外,合成通量(?r)与时间无关,即它是恒定通量。

等式(7)表明角度是时间的函数。

因此,可以看出合成通量在空间中以每秒ω弧度的角速度沿顺时针方向旋转。因此,对于P极的机器

从上述讨论中可以得出以下结论-
·平衡三相供电系统的三相电流在电机中产生大小恒定的合成磁通。每个瞬间的通量大小为1.5?m。
·合成磁通量在本质上是旋转的,并且它以与电源电流相同的角速度旋转。
·合成磁通的旋转方向取决于供电系统的相序。


