唐人阁论坛2025,一杯茶论坛全国兼职,51茶楼论坛网,一线天品茶论坛

全国服务热线:0755-26993877
当前位置: 首页 > 新闻中心 > 行业动态行业动态

三相异步电机低、中、高滑区转矩的滑差特性

发布时间:2023-02-01 16:39:59点击量:

 对于特定的转子电阻和电抗值,在转矩和转差之间绘制的图表称为感应电机的转矩转差特性。三相感应电机在运行条件下的转矩由下式:

三相异步电机低、中、高滑区转矩的滑差特性(图1)

 从等式。上图可以看出,如果R 2和X 2保持不变,则扭矩取决于转差率“s”。扭矩-转差特性曲线可分为三个区域,也即是以下特征:

三相异步电机低、中、高滑区转矩的滑差特性(图2)

 一、低滑区


 在同步速度下,转差s=0,因此转矩为0。当速度非常接近同步速度时,转差非常低,与R 2相比,(??2)2 项可以忽略不计。

三相异步电机低、中、高滑区转矩的滑差特性(图3)

 如果R 2是常数,则

τr ∝ s…

 等式表明转矩与转差成正比。因此,当转差较小时,转矩-转差曲线为直线。


 二、中滑区


 当滑移增加时,(??2)2项变大,以至于与(??2)2相比,?22可以忽略。

三相异步电机低、中、高滑区转矩的滑差特性(图4)

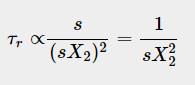
 如果X 2是常数,则

三相异步电机低、中、高滑区转矩的滑差特性(图5)

 因此,扭矩与滑向静止状态成反比。因此,对于滑差的中间值,扭矩滑移特性由矩形双曲线表示。当R 2=??2时,曲线通过最大扭矩点。感应电机产生的最大扭矩称为牵引扭矩或击穿扭矩。该击穿转矩是电机短时过载能力的量度。


 三、高滑区


 扭矩减小超过最大扭矩点。结果,电机减速并最终停止。感应电机在s=0和s=s m之间的转差值下运行,其中sm是对应于最大转矩的转差值。对于典型的三相感应电机,击穿转矩是满载转矩的2到3倍。因此,电机可以在短时间内处理过载而不会失速。


 *从转矩到转差特性可以看出,在转子电路中增加电阻不会改变最大转矩的值,而只会改变出现最大转矩时的转差值。

地址:深圳宝安区新安街道67区甲岸科技园1号厂房1区5楼  电话:0755-26993877  手机:15012713703
Copyright ? 2021 深圳市藤仓自动化有限公司版权所有 ICP备案编号:粤ICP备16008317号