唐人阁论坛2025,一杯茶论坛全国兼职,51茶楼论坛网,一线天品茶论坛

全国服务热线:0755-26993877
当前位置: 首页 > 新闻中心 > 行业动态行业动态

大功率伺服电机输出功率如何计算?

发布时间:2021-08-19 15:29:05点击量:

  Y线电机中的功率


  下图显示了Y线BLAC电机的电气模型:

大功率伺服电机输出功率如何计算?(图1)

  任何电机的功率都可以计算为每相功率的总和(RMS电流和RMS电压的乘积)。在相位平衡电机的情况下:

大功率伺服电机输出功率如何计算?(图2)

  我N A Y型连接马达,


  ·相电流(Iph)是在伺服驱动器输出端子上看到的RMS电流。


  ·相电压(Vph)定义为:

大功率伺服电机输出功率如何计算?(图3)

  其中Vph?ph是伺服驱动器两个输出端子之间的RMS电压差??占涫噶康髦?SVM)的使用允许使用所有直流母线电压作为线电压幅度。

大功率伺服电机输出功率如何计算?(图4)

  其中D是应用的占空比。


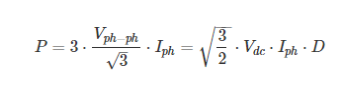
  因此,传递给电机功率的功率可以定义为:

大功率伺服电机输出功率如何计算?(图5)

  Δ线电机中的功率


  从伺服驱动器的角度来看,提供给Δ线电机的功率完全相同。但是,电压和电流值在相位内共享不同:

大功率伺服电机输出功率如何计算?(图6)

  在Δ线电机中:


  ·相电流(Iph)不是在伺服驱动器上看到的电流。相反,它被定义为:

大功率伺服电机输出功率如何计算?(图7)

  其中Iine是在伺服驱动器输出端子上看到的RMS电流。


  ·相电压(Vph)是伺服驱动器两个输出端子之间的电压差之间的RMS电压,定义在(3)中。


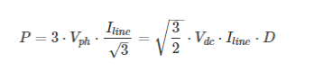
  因此,Δ接线电机的总功率为:

大功率伺服电机输出功率如何计算?(图8)

  从伺服驱动器的角度来看,这相当于(4)。

地址:深圳宝安区新安街道67区甲岸科技园1号厂房1区5楼  电话:0755-26993877  手机:15012713703
Copyright ? 2021 深圳市藤仓自动化有限公司版权所有 ICP备案编号:粤ICP备16008317号