唐人阁论坛2025,一杯茶论坛全国兼职,51茶楼论坛网,一线天品茶论坛

全国服务热线:0755-26993877
当前位置: 首页 > 新闻中心 > 行业动态行业动态

电容器如何储存电荷和能量,什么是电容器的物理原理特性?

发布时间:2022-06-27 15:47:26点击量:

 电容器是一种储存电荷的无源电气元件,具有电容的特性。电容器具有独特的工作原理。


 1、基本结构


 在最简单的形式中,电容器是一种存储电荷的电气设备,由两个平行的导电板构成,由称为电介质的绝缘材料隔开。连接引线连接到平行板上。

电容器如何储存电荷和能量,什么是电容器的物理原理特性?(图1)

 2、电容器如何储存电荷?


 在中性状态下,电容器的两个极板具有相同数量的自由电子。

电容器如何储存电荷和能量,什么是电容器的物理原理特性?(图2)

 当电容器通过电阻器连接到电压源时,电子(负电荷)从极板A中移除,并且相同数量的电子沉积在极板B上。当极板A失去电子而极板B获得电子时,极板A变为正极相对于板B。

电容器如何储存电荷和能量,什么是电容器的物理原理特性?(图3)

 在此充电过程中,电子仅流过连接引线。没有电子流过电容器的电介质,因为它是绝缘体;然而,电介质变得极化。当电容器两端的电压等于源电压时,电子的运动停止。

电容器如何储存电荷和能量,什么是电容器的物理原理特性?(图4)

 如果电容器与电源断开,它会在很长一段时间内保留存储的电荷(时间长短取决于电容器的类型)并且仍然有电压通过。充电的电容器可以充当临时电池。

电容器如何储存电荷和能量,什么是电容器的物理原理特性?(图5)

 3、电容器如何储存能量?


 电容器以电场的形式存储能量,该电场由存储在两个板上的相反电荷建立。电场由正电荷和负电荷之间的力线表示,并集中在电介质内。虽然电流不流过电介质,但电介质中的分子会随着电场定向,从而在电介质内形成极化区域。电介质内的极化分子会产生一个电场,该电场会降低电介质内的整体电场。良好的电介质是一种易于极化的电介质。

电容器如何储存电荷和能量,什么是电容器的物理原理特性?(图6)

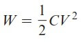
 图中的极板已充电,因为它们连接到电池。这会在板之间产生电场,从而储存能量。存储在电场中的能量与电容器的大小和电压的平方直接相关,如下所示的存储能量公式:

电容器如何储存电荷和能量,什么是电容器的物理原理特性?(图7)

 当电容(C)以法拉为单位,电压(V)以伏特为单位时,能量(W)以焦耳为单位。


 4、电容器的物理特性


 以下参数对于确定电容器的电容和电压额定值很重要:极板面积、极板间距和介电常数。


 (1)板面积


 电容与由极板面积A确定的极板的物理尺寸成正比。极板面积越大,电容越大,极板面积越小,电容越小。下图显示平行板电容器的极板面积是其中一个极板的面积。如果板相对于彼此移动,则重叠区域确定有效板区域。有效极板面积的这种变化是特定类型可变电容器的基础。

电容器如何储存电荷和能量,什么是电容器的物理原理特性?(图8)

?。?)板分离


 电容与板之间的距离成反比。板分离被指定为“d”。板的更大分离产生更小的电容?;鞔┑缪褂爰寮渚喑烧取0宸掷氲迷皆?,击穿电压就越大。

电容器如何储存电荷和能量,什么是电容器的物理原理特性?(图9)

 (3)介电常数


 电容器极板之间的绝缘材料称为电介质。对于给定的电荷,介电材料往往会降低极板之间的电压,从而增加电容。如果电压是固定的,则由于存在电介质而可以存储的电荷比没有电介质时可以存储的电荷多。衡量材料建立电场的能力称为介电常数或相对介电常数。电容与介电常数成正比。真空的介电常数定义为1,空气的介电常数非常接近1。

地址:深圳宝安区新安街道67区甲岸科技园1号厂房1区5楼  电话:0755-26993877  手机:15012713703
Copyright ? 2021 深圳市藤仓自动化有限公司版权所有 ICP备案编号:粤ICP备16008317号