唐人阁论坛2025,一杯茶论坛全国兼职,51茶楼论坛网,一线天品茶论坛

全国服务热线:0755-26993877
当前位置: 首页 > 新闻中心 > 行业动态行业动态
固定电阻器和可变电阻器怎么分类,探讨电阻器类型及其性能用途!
2022-08-30固定电阻器和可变电阻器怎么分类,探讨电阻器类型及其性能用途!

 有许多不同类型的电阻器,它们的组成和其他特性各不相同,以最大限度地发挥其特定功能。下面简要讨论一些电阻器类型及其最佳用途?!∠咝缘缱杵鳌∥蘼哿鞴牡缌骰蚴┘拥牡缪谷绾伪浠咝缘缱杵鞫蓟岜3制涞缱柚?。因此,电流始终与电压成正比,V/I保持恒定,使特

感应电机各定子绕组工作原理和定子绕组的磁场电流运动方式
2022-08-30感应电机各定子绕组工作原理和定子绕组的磁场电流运动方式

 感应电动机是使用旋转机构的任何行业中使用最多的电动机。全球生产的大约50%的电力用于运行感应电动机。电力机车、纺织厂、压缩机、泵、风扇,甚至你的吹风机——感应电机无处不在。让我们了解这台神奇的电机的工作原理。 与任何电动机一样,感应电动机具有转子-

开关电源优势有多大,何时使用线性和开关模式电源?
2022-08-29开关电源优势有多大,何时使用线性和开关模式电源?

 为您的设备选择电源通常涉及在线性电源或开关电源之间进行选择。他们每个人都有自己的长处和短处,这将影响您根据需要选择哪一个。 开关电源的一大优势是重量更轻、尺寸更小。如果安装在单元内,这将节省制造商的材料成本和空间。开关电源通常也比线性电源更高效,有

电阻器额定功率消耗为多少时,电阻器将发生故障?
2022-08-29电阻器额定功率消耗为多少时,电阻器将发生故障?

 功率是随时间变化的能量,1瓦=1焦耳/秒。功率通常在简单电路中计算为P(功率,瓦特)=V(电压,V)*I(产生的电流,A)。组件的额定功率是其散发流经它的功率产生的热量的能力。任何组件都必须能够消散在电路中使用时产生的热能,否则它将失效。由于电阻器

无线电力传输系统如何工作,电力传输的连接方式?
2022-08-29无线电力传输系统如何工作,电力传输的连接方式?

无线电力传输是在没有电线作为物理链路的情况下将电能从电源传输到电气负载。它通常由两个集成电路(IC)控制:一个发射功率(发射器),另一个接收发射功率(接收器)。平面接收器和发射器线圈之间的磁感应有助于无线电力传输。接收线圈位于发射线圈上方,在驱动发射线圈时会发生磁耦合。

在声纳和超声波传感器中,超声波传感器和声纳有什么区别?
2022-08-28在声纳和超声波传感器中,超声波传感器和声纳有什么区别?

 声纳和超声波传感器都使用声波来检测和识别远处的物体。但是,超声波传感器专门发射超声波;即频率大于人类可听范围上限的振动。在声纳和超声波传感器中,物体发射或反射的声波由设备检测并分析它们包含的信息,从而识别沿其表面的轮廓?!∩桑ㄉ傻己胶筒饩啵┘际?/p>

隔离变压器和统一变压器初级和次级阻抗的作用是否相同?
2022-08-27隔离变压器和统一变压器初级和次级阻抗的作用是否相同?

 由于其初级和次级绕组之间没有直接的电气连接,因此变压器在其输入和输出电路之间提供了完全的电气隔离,并且这种隔离特性也可以用于放大器和扬声器之间。匝数比为1:1的变压器不会改变电压或电流水平,而是将初级电路与次级侧隔离。这种变压器通常被称为隔离变压器

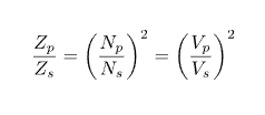
音频变压器输入和输出阻抗匹配电压平方比
2022-08-27音频变压器输入和输出阻抗匹配电压平方比

 变压器可以像处理电压和电流一样提高或降低阻抗。虽然它们通过匝数比改变电压,并且通过匝数比的倒数改变电流,但音频变压器通过匝数比的平方改变阻抗。在两个绕组的每个单线圈匝中感应出相同量的电压?!∫虼?,初级与次级电压比 (VP / V

地址:深圳宝安区新安街道67区甲岸科技园1号厂房1区5楼  电话:0755-26993877  手机:15012713703
Copyright ? 2021 深圳市藤仓自动化有限公司版权所有 ICP备案编号:粤ICP备16008317号